Quantifying the Value of Open Source Hardware Development

With the maturation of digital manufacturing technologies like 3-D printing, a new paradigm is emerging of distributed manufacturing in both scientific equipment and consumer goods. Hardware released under free licenses is known as free and open source hardware (FOSH). The availability of these FOSH designs has a large value to those with access to digital manufacturing methods and particularly for scientists with needs for highly-customized low-volume production products. It is challenging to use traditional funding models to support the necessary investment of resources in FOSH development because of the difficulty in quantifying the value of the result. In order to overcome that challenge and harvest the current opportunity in both low-cost scientific equipment and consumer products, this article evaluates the following methods to quantify the value of FOSH design including: 1) downloaded substitution valuation; 2) avoided reproduction valuation and 3) market savings valuation along with additional benefits related to market expansion, scientific innovation acceleration, educational enhancement and medical care improvement. The strengths and weaknesses of these methods are analyzed and the results show that the methods are relatively straight-forward to institute, based on reliable freely-available data, and that they minimize assumptions. A case study of a syringe pump with numerous scientific and medical applications is presented. The results found millions of dollars of economic value from a relatively simple scientific device being released under open-licenses representing orders of magnitude increase in value from conventional proprietary development. The inescapable conclusion of this study is that FOSH development should be funded by organizations interested in maximizing return on public investments particularly in technologies associated with science, medicine and education.
Keywords
Open Hardware, free and open source hardware, Free and Open Source Software, Positive Externalities, Value, Valuation
Primary Methods
The two primary methods of determining the value of FOSH design are shown below- full details are provided in the paper.
Downloaded Substitution Valuation
The downloaded substitution valuation uses the number of times that a FOSH design is accessed on the Internet to quantify the value of the design. The downloaded valuation for substitution savings, VD, is:
VD(t) = (Cp-Cf)x P x ND(t)
Where Cp is the cost to purchase a traditionally manufactured product, Cf is the marginal cost to fabricate it digitally using a distributed technique, P is the percent of downloads resulting in a product, and ND(t) is the number of times the digital design has been downloaded at time t. P is subject to error as downloading a design does not indicate that it was manufactured and a single download from a distribution website could be fabricated many times, traded via email, memory stick or posted on P2P sites that are not recorded. The savings from FOSH digital manufacturing (S=Cp-Cf) have been shown to be substantial in the developing world for appropriate technology and for consumer goods. S is maximized for custom low-volume products such as scientific equipment where Cf is generally only 1-10% of Cp (see the Open Source Lab).
Avoided Reproduction Valuation
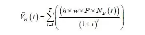
A variation of the downloaded valuation is the avoided cost of reproduction value VR for a single company, which is given by:
VR=h x w
where h is the number of design hours needed to replicate the product and w is the hourly wage of the workers needed to produce the replication. This method of capturing value can also be extrapolated to all firms (and individuals that would hire firms or freelance designers to complete the design) to obtain the total value to society and is give by:
See also
- Return on Investment for Open Source Hardware Development
- Economic Impact of DIY Home Manufacturing of Consumer Products with Low-cost 3D Printing from Free and Open Source Designs
- Life-cycle economic analysis of distributed manufacturing with open-source 3-D printers
- Economic Savings for Scientific Free and Open Source Technology: A Review
- Emergence of Home Manufacturing in the Developed World: Return on Investment for Open-Source 3-D Printers
- Impact of DIY Home Manufacturing with 3D Printing on the Toy and Game Market
- Distributed Manufacturing of Flexible Products- Technical Feasibility and Economic Viability
- Making the Tools to Do-It-Together: Open-source Compression Screw Manufacturing Case Study
- Open-source hardware
- Overcoming Limitations of Proprietary Scientific Hardware Funding
- Open-source syringe pump
- Building Open Source Hardware in Academia
- Open-source Lab
- Equitable Research Capacity Towards the Sustainable Development Goals: The Case for Open Science Hardware
- Building research equipment with free, open-source hardware
- Open source science
- Open source optics
- Open source 3-D printing of OSAT
- Open-source hardware for science in Ecuador
- Sponsored Libre Research Agreements to Create Free and Open Source Software and Hardware
- Economic Potential for Distributed Manufacturing of Adaptive Aids for Arthritis Patients in the U.S.
- Open-Source Three-Dimensional Printable Infant Clubfoot Brace
- Low-cost open source ultrasound-sensing based navigational support for visually impaired
- Towards national policy for open source hardware research: The case of Finland
- From Open Access to Open Science: The Path From Scientific Reality to Open Scientific Communication
- Parametric Nasopharyngeal Swab for Sampling COVID-19 and Other Respiratory Viruses: Open Source Design, SLA 3-D Printing and UV Curing System
- Open-Source Medical Hardware for Pandemics
- Strategic Investment in Open Hardware for National Security
- The Rise of Platinum Open Access Journals with both Impact Factors and Zero Article Processing Charges
- Open source surgical fracture table for digitally distributed manufacturing
- Economic Impact of DIY Home Manufacturing of Consumer Products with Low-cost 3D Printing from Free and Open Source Designs
- Professors Want to Share: Preliminary Survey Results on Establishing Open Source Endowed Professorships
- Canadian professors’ views on establishing open source endowed professorships
- Open source decarbonization for a sustainable world
- Towards open source patents: Semi-automated open hardware certification from MediaWiki websites
- Low-cost Assistive Technologies for Disabled People Using Open-Source Hardware and Software: A Systematic Literature Review
- Economic Efficiency of an Open-Source National Medical Lab Software in Canada
- Open-source 3-D printing materials database generator
- Business Models for Open Source Hardware Repositories
- Leveraging Open Source Development Value to Increase Freedom of Movement of Highly Qualified Personnel
- Design of Alternatives to Stained Glass with Open-Source Distributed Additive Manufacturing for Energy Efficiency and Economic Savings
In the News
- Your Open Source 3D Printed Designs Could Save the 3D Printing Community Millions - 3DPrint.com
- 3D Printed Open Hardware Syringe Yields $800M Value, Study Finds- 3D Printing Industry
- Measuring the value of open hardware design - Open Source
- Measuring the value of open hardware design - Slash Dot, Hackbusters
- Quanto vale l'open hardware - Punto Informatico - largest Italian online newspaper 1.1m/month
- How to Make Millions of Dollars of Value with Open Source Hardware - GTN News (CBS, NBC Florida), KoamTV (CBS Missouri), WSPA (CBS South Carolina),News9 Oklahoma
- How valuable is an open hardware design? - Open Electronics
- Open Source Syringe Pump Could Save Millions - 3DPrint.com
- L'open source può veramente cambiare il mondo della ricerca scientifica?3Discover.it
- Review - Gear Chicken
- 3D Printing Enables a Smartphone's Transformation into a Dual Spectrometer - 3D Printing Industry
- Essay of the Day: Quantifying the Value of Open Source Hardware Development - P2P Foundation
| Authors | Joshua M. Pearce |
|---|---|
| License | CC-BY-SA-3.0 |
| Cite as | Joshua M. Pearce (2015–2025). "Quantifying the Value of Open Source Hardware Development". Appropedia. Retrieved November 28, 2025. |